Abstract
Introduction: For patients with myeloid malignancies undergoing allogeneic hematopoietic transplantation (alloHCT), disease relapse remains the most common cause of transplant failure and mortality. Treatment of relapse after alloHCT remains extremely challenging. Post-transplant maintenance with fms-like tyrosine kinase 3 (FLT3) inhibitors has shown benefit in preventing relapse in the minority of patients with FLT3 mutated acute myeloid leukemia (AML). For the remaining patients, the efficacy of hypomethylating agents (HMA) as post-transplant maintenance yields conflicting results. There is a paucity of data regarding the role of HMA as post-transplant maintenance administered outside the context of a clinical trial. We aimed to evaluate the efficacy of azacitidine (AZA) as post-alloHCT maintenance in a real-world setting in patients with FLT3-negative AML or myelodysplastic syndrome (MDS).
Methods: We conducted a single center retrospective matched-control comparative analysis. The study group (AZA group) included adults, aged ³18, with FLT3-negative AML or MDS who received their first alloHCT between 2013 and 2020; and were treated post-transplant with AZA maintenance therapy, initiated within 180 days after alloHCT. All patients in the AZA group initiated maintenance while in complete remission (CR) without minimal residual disease (MRD), assessed by multi-color flow cytometry. We compared the AZA group to a matched control group of contemporaneous patients with AML or MDS who did not receive any maintenance. We matched the control group according to disease type (AML or MDS), disease risk category (by ELN12 for AML and IPSS-R for MDS) and disease status at transplant. Matched controls were required to have count recovery (ANC>1000 X 106 cells/L and PLT>20K/µL) within ±7 days of initiation of AZA in their counterparts. We excluded controls if they had positive MRD, overt relapse or if they died prior to the initiation of AZA in their counterparts; grade 2-4 acute graft versus host disease (GVHD) within +/-7 days, or chronic GVHD within +/-15 days of initiation of AZA in their counterparts. The primary endpoint was disease progression, evaluated considering death before progression as a competing event.
Results: We identified 93 consecutive patients who received AZA maintenance. A total of 357 unique matched controls were identified at a 2/1, 3/1, 4/1 matching ratio for 1 (1%), 13 (14%), and 79 (85%) of cases, respectively. The AZA and control groups had comparable patient and disease characteristics except for older age (median: 61 vs. 57 years, p=0.01) and lower hematopoietic comorbidity index (HCT-CI) (median: 2 vs. 3, p=0.04) in the AZA group (Table 1). Patients in the AZA group received a median of 8 (range 1-60) cycles of AZA.
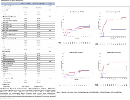
Outcomes were compared starting at the time of initiation of AZA in the case. Median follow-up among surviving patients was 35 and 44 months in the AZA and control groups, respectively. The 3-year cumulative incidence of disease progression was 29% and 33% (HR 0.7, 95% CI 0.4-1.1; p=0.09), respectively. Subset analyses showed that the protective effect of AZA on disease progression was limited to patients with high risk AML or MDS [HR 0.4, 95% CI 0.2-0.8, p=0.009] (Figure 1 B,D).There was no beneficial effect for AZA for patients with low or intermediate risk disease [HR 1.04, 0.6-1.8, p=0.9] (Figure 1 A,C). The use of AZA was also associated with a lower rate (4% vs. 22%, p=0.001) of non-relapse mortality independent of the disease risk category. These effects translated into a significantly superior overall (74% vs. 51%, p<0.001) and progression-free (67% vs. 46%, P<0.001) survival in the AZA group compared to the control group. Results were consistent when the analyses were repeated using a second independently selected matched control group (data not shown).
Conclusion: Post-alloHCT AZA maintenance was associated with lower progression rate in patients with high-risk FLT3-negative AML or MDS. This effect is remarkable considering that matched controls had been in MRD-negative CR prior to initiation of AZA in their matched counterparts. Our results also indicate a low rate of non-relapse mortality associated with AZA maintenance which warrants evaluation in prospective studies. Collectively, our data suggest that AZA maintenance should be considered for post-alloHCT maintenance in high risk FLT3-negative AML and MDS patients.
Disclosures
Popat:Bayer: Research Funding; Incyte: Research Funding; Abbvie: Research Funding; Novartis: Research Funding; Iovance: Consultancy. Alousi:Genetech: Consultancy; Prolacta: Consultancy; Sanofi / Kadmon: Honoraria; Incyte: Honoraria, Research Funding; Mallinkrodt: Honoraria. Mehta:Syndax: Research Funding; Orca Bio: Research Funding. Yeh:Omeros: Honoraria. Kebriaei:Ziopharm: Research Funding; Pfizer: Consultancy; Amgen: Research Funding; Kite: Consultancy; Jazz: Consultancy. Champlin:Omeros: Consultancy; Actinium: Consultancy; General Oncology: Other: Data Safety Monitoring Board; Kadmon: Consultancy; Bluebird: Other: Data Safety Monitoring Board; Cell Source Inc.: Research Funding; Johnson &Johnson: Consultancy. Shpall:Bayer: Honoraria; Navan: Consultancy; NY blood center: Consultancy; Fibroblasts and FibroBiologics: Consultancy; adaptimmune: Consultancy; Takeda: Patents & Royalties; Affimed: Other: License agreement; axio: Consultancy. Oran:AROG: Research Funding; ASTEX: Research Funding.
OffLabel Disclosure:
Azacitidine has not been approved by FDA for post-transplant use.
Author notes
Asterisk with author names denotes non-ASH members.

This feature is available to Subscribers Only
Sign In or Create an Account Close Modal